Fig 1 from Controlling Polymer-Surface Interactions with Random Copolymer Brushes

Controlling Polymer-Surface Interactions with Random Copolymer Brushes

P Mansky, Y Liu, E Huang, TP Russell, C Hawker

Science, 1997: Vol. 275, Issue 5305, pp. 1458-1460

Full Article

 

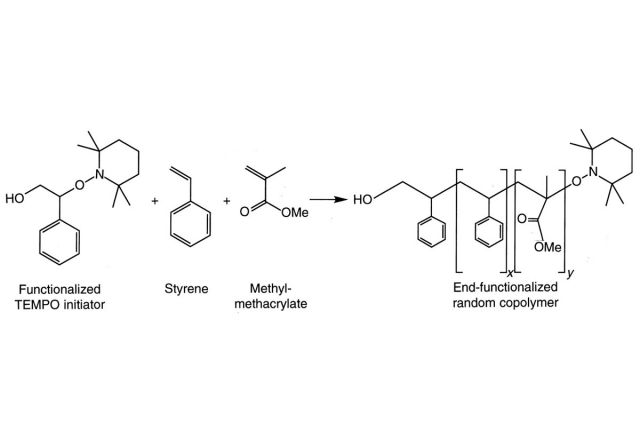
Abstract: A simple technique for precisely controlling the interfacial energies and wetting behavior of polymers in contact with solid surfaces is described. End-functionalized statistical random copolymers of styrene and methylmethacrylate were synthesized, with the styrene fraction f varying from 0 to 1, and were end-grafted onto silicon substrates to create random copolymer brushes about 5 nanometers thick. For f < 0.7, polystyrene (PS) films (20 nanometers thick) rapidly dewet from the brushes when heated well above the glass transition temperature. The contact angle of the resulting polymer droplets increased monotonically with decreasing f. Similar behavior was observed for poly(methylmethacrylate) (PMMA) films but with an opposite dependence on f. The interfacial energies of the random copolymer brushes with PS and PMMA were equal when f was about 0.6. Thus, precise control of the relative surface affinities of PS and PMMA was possible, demonstrating a way to manipulate polymer-surface interactions.